图的表示
图的表示是指用于将某些图存储到计算机内存中的技术。
有两种方法可以将图存储到计算机的内存中。在本教程的这一部分中,将详细讨论它们。
1. 顺序表示
在顺序表示中,使用邻接矩阵来存储由顶点和边表示的映射。在邻接矩阵中,行和列由图顶点表示。 具有n个顶点的图将具有尺寸n×n。
如果在Vi和Vj之间存在边缘,则无向图G的邻接矩阵表示中的项目Mij将为1。
无向图及其邻接矩阵表示如下图所示。

在上图中,可以看到顶点(A,B,C,D,E)之间的映射是通过使用也在图中示出的邻接矩阵来表示的。
对于有向图和无向图存在不同的邻接矩阵。 在有向图中,只有当存在从Vi指向Vj的边时,条目Aij才为1。
有向图及其邻接矩阵表示如下图所示。
权重有向图的表示是不同的。 不是通过1填充条目,而是通过各个边的权重来表示邻接矩阵的非零条目。
权重有向图以及邻接矩阵表示如下图所示。
2. 链接表示
在链接表示中,邻接列表用于将图存储到计算机的内存中。考虑下图中显示的无向图并检查邻接列表表示。
要为图中存在的每个节点维护邻接列表,邻接列表将节点值和指向下一个相邻节点的指针存储到相应节点。 如果遍历所有相邻节点,则将NULL存储在列表的最后一个节点的指针字段中。 邻接列表的长度之和等于无向图中存在的边数的两倍。
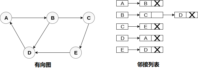
考虑下图中显示的有向图,并查看图的邻接列表表示。
在有向图中,所有邻接列表的长度之和等于图中存在的边的数量。
在加权有向图的情况下,每个节点包含一个额外的字段,称为节点的权重。 有向图的邻接列表表示如下图所示。


