LISP - 树
可以从cons单元构建树的数据结构,如清单列表。
为了实现树形结构,则必须设计功能,将遍历cons 单元,在特定的顺序,例如,前序,顺序和后序的二进制树。
树列表的列表
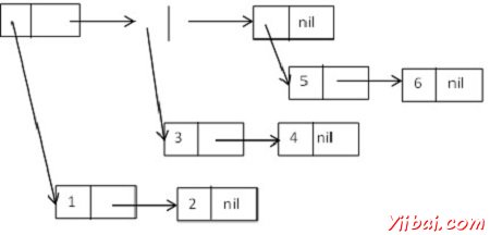
让我们考虑由cons单元的树状结构,形成列出的清单如下:
((1 2) (3 4) (5 6)).
图解,它可以表示为:

LISP树的功能
虽然多数时候仍需要根据其它特殊需求编写自己的树的功能,LISP提供了一些树的功能,您可以使用。
除了所有列表函数,以下是工作在树结构函数:
函数 | 描述 |
---|---|
copy-tree x &optional vecp | 它返回cons单元×树的副本。它递归地拷贝两款车和cdr方向。如果x不是一个cons单元,该函数只返回x不变。如果可选vecp参数为true,这个函数将向量(递归),以及cons单元。 |
tree-equal x y &key :test :test-not :key | 它比较两棵树的cons单元。如果x和y是两个cons单元,他们的汽车和cdr是递归比较。如果x和y都不是一个cons单元,它们是由eql比较,或根据指定的测试。:key函数,如果指定,应用到这两个目录树中的元素。 |
subst new old tree &key :test :test-not :key | 它可以代替出现给老项与新项,在树,这是cons单元的一棵树。 |
nsubst new old tree &key :test :test-not :key | 它的工作原理与subst相同,但它破坏了原来的树。 |
sublis alist tree &key :test :test-not :key | 它的工作原理就像subst,只不过它采用的新旧对关联表alist。树(应用后:key函数,如果有的话)中的每个元素,与alist的车相比;如果它匹配,它被替换为相应的cdr。 |
nsublis alist tree &key :test :test-not :key | 它的工作原理与sublis相同,而是一个破坏性的版本。 |
示例 1
创建一个名为main.lisp一个新的源代码文件,并在其中输入如下代码:
(setq lst (list '(1 2) '(3 4) '(5 6))) (setq mylst (copy-list lst)) (setq tr (copy-tree lst)) (write lst) (terpri) (write mylst) (terpri) (write tr)
当执行代码,它返回以下结果:
((1 2) (3 4) (5 6)) ((1 2) (3 4) (5 6)) ((1 2) (3 4) (5 6))
示例 2
创建一个名为main.lisp一个新的源代码文件,并在其中输入如下代码:
(setq tr '((1 2 (3 4 5) ((7 8) (7 8 9))))) (write tr) (setq trs (subst 7 1 tr)) (terpri) (write trs)
当执行代码,它返回以下结果:
((1 2 (3 4 5) ((7 8) (7 8 9)))) ((7 2 (3 4 5) ((7 8) (7 8 9))))
建立自己的树
让我们尝试建立自己的树,使用LISP列表功能。
首先,让我们创建一个包含一些数据的新节点:
(defun make-tree (item) "it creates a new node with item." (cons (cons item nil) nil))
接下来让我们添加一个子节点插入到树:它会采取两种树节点,并添加第二棵树作为第一个的子树。
(defun add-child (tree child) (setf (car tree) (append (car tree) child)) tree)
接下来让我们添加一个子节点插入到树:这将需要一个树节点,并返回该节点第一个子节点,或nil,如果这个节点没有任何子节点。
(defun first-child (tree) (if (null tree) nil (cdr (car tree))))
这个函数会返回一个给定节点的下一个同级节点:它需要一个树节点作为参数,并返回一个指向下一个同级节点,或者为nil,如果该节点没有任何。
(defun next-sibling (tree) (cdr tree))
最后,我们需要一个函数来返回一个节点的信息:
(defun data (tree) (car (car tree)))
示例
本示例使用上述功能:
创建一个名为main.lisp一个新的源代码文件,并在其中输入如下代码:
(defun make-tree (item) "it creates a new node with item." (cons (cons item nil) nil)) (defun first-child (tree) (if (null tree) nil (cdr (car tree)))) (defun next-sibling (tree) (cdr tree)) (defun data (tree) (car (car tree))) (defun add-child (tree child) (setf (car tree) (append (car tree) child)) tree) (setq tr '((1 2 (3 4 5) ((7 8) (7 8 9))))) (setq mytree (make-tree 10)) (write (data mytree)) (terpri) (write (first-child tr)) (terpri) (setq newtree (add-child tr mytree)) (terpri) (write newtree)
当执行代码,它返回以下结果:
10 (2 (3 4 5) ((7 8) (7 8 9))) ((1 2 (3 4 5) ((7 8) (7 8 9)) (10)))